返回首页
你现在的位置: > 首页 > 企业动态 > 正文

利器出鞘!天合光能210至尊组件“三大优势”稳拿更高发电量

发布日期:2022/3/24



      “双碳”趋势下,大力发展新能源成为共识。从确定676个“整县推进”试点名单,“整县分布式”市场争夺日趋白热化,到在沙漠、戈壁、荒漠规划建设4.5亿千瓦的大型风电光伏基地,光伏产业的未来,必是星辰大海。


       在此前景下,具备高功率、高效率、高可靠、高发电量的210至尊超高功率组件顺应了国家“有规模、有效益”的发展要求,无论是分布式屋顶还是大型地面电站场景下,都将是更优解。


       本文将从户外发电量实证、低辐照性能、遮挡输出特性、户外工作温度等方面,全面介绍天合光能210至尊组件的户外发电性能优势。



超12个月发电量实证:至尊组件发电性能优势显著,高达1.7%


       通过常州及银川两个实证基地的数据显示:至尊组件发电量均高于传统540W组件,最高可达1.7%。


       常州项目:基于天合光能光伏科学与技术国家重点实验室实证场地。该项目自2020年9月起开始测试,至2021年3月数据,210至尊系列单面组件单瓦发电能力高于传统540W单面组件1.6%。组件安装倾角25°,安装高度0.5m,采用IV多通道测试仪采集数据。



发电量测试结果(常州)


       银川项目:国家光伏质检中心(CPVT)户外实证基地,位于宁夏银川市,年辐射强度在500W/m2及以上的时间大于2000小时。该项目于2021年4月正式开始进行户外发电量实证监控,预计结束时间为2022年4月。安装倾角40°,安装高度1m,地表为沙土地,双面组件背面无遮挡,数据采集方式为高精度直流电表+逆变器SG20RT-20,采集组串的直流侧发电量数据,组件均为4mm2线缆。


       根据2021年4月~2022年2月数据显示,210至尊系列单面组件单瓦发电量高于传统540W单面组件1.7%;210至尊系列双面组件单瓦发电量高于传统540W双面组件1.1%。



发电量测试结果(银川)



高发电量从何而来?“三大优势”彰显卓越


一、优异的低辐照性能:


       实际辐照低于1000W/m2,均具备单瓦发电量优势


       从银川项目的测试结果图中,可以明显看到,在辐照较高的天数中,至尊组件发电量与传统组件相当,但是在低辐照占比更多的天数中,至尊组件发电量增益明显,说明即使在一类光资源地区下,至尊组件低辐照性能带来的发电量优势依然明显。以下图表根据3个月实证综合数据统计得来:



不同辐照下至尊组件发电量测试结果


       在实际辐照低于1000W/m2(STC标准测试条件)时,210至尊组件因电阻损耗引起的发电量损失相较传统540W组件更少,因此210至尊组件低辐照性能较传统540W组件更优异。以2021年6月的数据为例,银川CPVT实证基地辐照量超过1000W/m2占比仅占3.98%,所以低辐照性能水平决定了实际发电量水平。

 

       210至尊组件因其优异的低辐照性能,整体的发电性能将更具优势;当其应用于低辐照占比相对银川更高的广袤地区时,210至尊组件的单瓦发电量相对优势也将更加凸显。



二、更低的遮挡损失:正面+背面,两面都更低


       光伏组件在实际应用中,由于早晚阵列间阴影遮挡,建筑物、树木、云朵等远景引起的阴影遮挡都可能会造成光伏组件串联失配,导致光伏组件发电效率降低,严重时会产生热斑现象进而损坏组件。 

 

1.组件正面遮挡情况


       至尊系列组件得益于210mm尺寸硅片及创新的版型设计,相同遮挡面积下阴影遮挡导致功率损失均小于传统540W组件,从而提高发电量。


       不同遮挡条件下,各类组件的功率衰减比例,可见下表:




2.双面组件背面遮挡情况


       相比于常规单面光伏组件,双面光伏组件可以利用来自空中散射和地表的反射辐射,因此具有更高的发电效益。



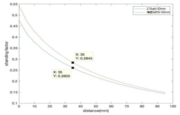
50mm檩条电池片辐照损失模拟结果对比



       在双面组件实际应用中,部分项目会存在组件背面横梁遮挡,以50mm檩条为例:当50mm宽檩条距离电池片35mm时,210半片电池片背面辐照遮挡损失为26.1%,而传统540W半片电池片背面辐照遮挡损失为28.5%。


       将正背面辐照及背面辐照遮挡损失带入光电耦合模型,以相同宽度檩条进行双面组件背面遮挡,在不同地表下发电量仿真,210至尊双面组件在相同背面遮挡下均优于传统540W组件0.09%~0.42%。



不同地表下背面遮挡发电量损失对比



三、优异的工作温度:保证组件光电转化效率


       光伏组件工作温度对组件工作性能有着重要的影响。随着工作温度升高,电池片的光电转化效率会降低,造成组件整体输出电性能降低。以常州实证项目来看,测试地点为草地,测试样件固定支架1H横装,倾角25°,安装高度0.5m; 组件工作温度采集方式为HIOKI热电偶数据采集仪,三种不同尺寸组件(M6-72、M10-72、G12-55)加权平均温度如下图所示:



不同类型组件工作温度测试结果


       选取其9月5日数据作为典型晴天条件,将实测数据及实测气象数据代入稳态热平衡模型,实测及模拟结果对照如下图,可见210至尊组件与传统540W组件工作温度基本趋于一致:



典型晴天下工作温度及热平衡模型测试结果



总结


       天合光能至尊系列组件基于210mm硅片,功率最高可达670W,创新采用低电压、高功率设计理念,通过光伏科学与技术国家重点实验室的测试、模拟工作以及多地项目实证,其优异的低辐照性能、工作温度和更好的抗阴影遮挡能力得到有力阐释,发电性能优势明显。与此同时,还可以实现长组串设计,从而减少组串及组件数量、节省安装成本、加快工程进度,从而具备更优的系统价值、更低的度电成本、更高的发电收益。



来源:天合光能


[←返回]

关于我们   |   关于合作   |   留言板   |   资料下载   |   广告服务  
  版权所有:南京诺溪新能源科技有限公司 苏ICP备14012130号   地址:南京金源路2号绿地之窗南广场D1栋808   
电话:025-52170985 18914486391